- 易博胜app怎么下载
- 版本:v3.3.5
- 类别:理财
- 大小:362984KB
- 时间12月02日
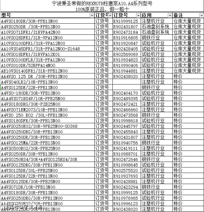
易博胜app怎么下载:柱塞泵A4VSO180DR-3OR-PPB13N00清仓订货号R910999125
柱塞泵A4VSO1易博胜app怎么下载80DR/3OR-PPB13N00清仓订货号R910999125
宁波秉圣工业技术有限公司是一家专门从事于欧洲,美国等多国家的进口备件进出口销售、技术咨询、技术服务、自动化设备服务为一体的贸易公司。公司的优势品牌如下:德国REXROTH(力士乐)、德国MOOG、美国 PARKER(派克)、美国 DENISON(丹尼逊)、美国 VICKERS(威格士)、意大利 ATOS(阿托斯)、德国 HAWE(哈威)、美国 MOOG(穆格)等产品。
刘工18968287931
刘工18968287931
REXROTH力士乐液压柱塞泵
从能量转换的观点来看,液压柱塞泵与液压柱塞泵是可逆工作的液压元件,向任何一种液压柱塞泵输入工作液体,都可使其变成液压柱塞泵工况;反之,当液压柱塞泵的主轴由外力矩驱动旋转时,也可变为液压柱塞泵工况。因为它们具有同样的基本结构要素--密闭而又可以周期变化的容积和相应的配油机构。但是,由于液压柱塞泵和液压柱塞泵的工作条件不同,对它们的性能要求也不一样,所以同类型的液压柱塞泵和液压柱塞泵之间,仍存在许多差别。首先液压柱塞泵应能够正、反转,因而要求其内部结构对称;液压柱塞泵的转速范围需要足够大,特别对它的ZUI低稳定转速有一定的要求。因此,它易博胜app怎么下载通常都采用滚动轴承或静压滑动轴承;其次液压柱塞泵由于在输入压力油条件下工作,因而不必具备自吸能力,但需要一定的初始密封性,才能提供必要的起动转矩。由于存在着这些差别,使得液压柱塞泵和液压柱塞泵在结构上比较相似,但不能可逆易博胜app怎么下载工作。
REXROTH力士乐液压柱塞泵
由于压力油作用,受力不平衡使转子产生转矩。叶片式液压柱塞泵的输出转矩与液压柱塞泵的排量和液压柱塞泵进出油口之间的压力差有关,其转速由输入液压柱塞泵的流量大小来决定。由于液压柱塞泵一般都要求能正反转,所以叶片式液压柱塞泵的叶片要径向放置。为了使叶片根部始终通有压力油,在回、压油腔通人叶片根部的通路上应设置单向阀,为了确保叶片式液压柱塞泵在压力油通人后能正常启动,必须使叶片顶部易博胜app怎么下载和定子内表面紧密接触,以保证良好的密封,因此在叶片根部应设置预紧弹簧。叶片式液压柱塞泵体积小、转动惯量小、动作灵敏、可适用于换向频率较高的场合;但泄漏量较大、低速工作时不稳定。因此叶片式液压柱塞泵一般用于转速高、转矩小和动作要求灵敏的场合。
刘工18968287931
宁波秉圣工业技术有限公司ZY代理各类进口设备,原厂直购销售直达国内客户,无任何中间商环节、型号齐全、货期稳定、质量保证,价格有较高的易博胜app怎么下载优势,欢迎咨询问购!
柱塞泵A4VSO180DR/3OR-PPB13N00清仓订货号R910999125
柱塞泵A4VSO180DR/3OR-PPB13N00清仓订货号R910999125返回搜狐,查看更多
责任编辑:
相关文章
更多+-
12月02日
-
12月02日
-
12月02日
-
12月02日
-
12月02日
-
12月02日
-
12月02日
-
12月02日
精品推荐
-
乐鱼娱乐网址在线登录:互联网营销师国家职业技能标准来了!带货主播成正式工种下载
-
金宝搏188手机网址:RA官宣FoFo离队 LGD官宣Xiye离队下载
-
千亿网址是什么:证监会连环59问慕思股份:这个洋老头究竟是谁?下载
-
必威betway东盟体育:信源豆豆一招解决“工作群泄密”下载
-
网投十大信誉平台j0500:表演艺术家蓝天野:只要党需要我、观众需要我,我就要发好光和热-_光明网下载
-
网投正规在线平台:原创- 万元羽绒服门店不让退货?加拿大鹅紧急改口,中国消费者还会买单吗下载
-
188金宝搏官网下载:突破7400MB-s,令人惊喜的Kingston FURY叛逆者(Renegade)PCIe 4.0 NVMe SSD下载
-
万博体育maxbextx备用地址:成都链安-爆火的链游是新时代淘金?看懂这些套路避免再被收割!下载
-
BET365下载手机版:勇士召回汤普森 期待“水花兄弟”再合体下载
-
开博体育官网:消费者报告-好欢螺螺蛳粉吃出虫卵,是商业诋毁还是食安问题?下载
-
lehu11乐虎国际:这事儿|深圳卫健委公号再刷爆款,“无套后入有毒”科普防艾知识下载
-
华体会体育app官网下载:助力中国航天梦,看名气电器如何游弋厨电的“星辰大海”下载
-
-
孙子涵 12月02日 15:44
黄金城hjc037vip:职场女性买哪款笔记本?从颜值设计和性能需求出发,我推荐这一款
-
尤韵荔 12月02日 11:32
188金宝搏官方app下载查封了嘛:连环画传颂千年运河 “咱家书房”助力运河原创品牌更亲民-运河品牌+01期-_中国政协_中国
-
仝飞光 12月02日 16:20
金宝搏网页登录:丁磊发布公开信:网易云音乐不止做音乐,还要经营声音的生意-科技频道
-
阳惊骅 12月02日 22:39
千赢国际网址是多少:原创- 比赛日:莱斯特2-2圣徒 那不勒斯遭绝平2-2萨索洛_0
陈渲洋 12月02日 06:52
U乐国际官网登录:中医在泰国:健康“一家亲”- 世界同心圆09-_中国政协_中国