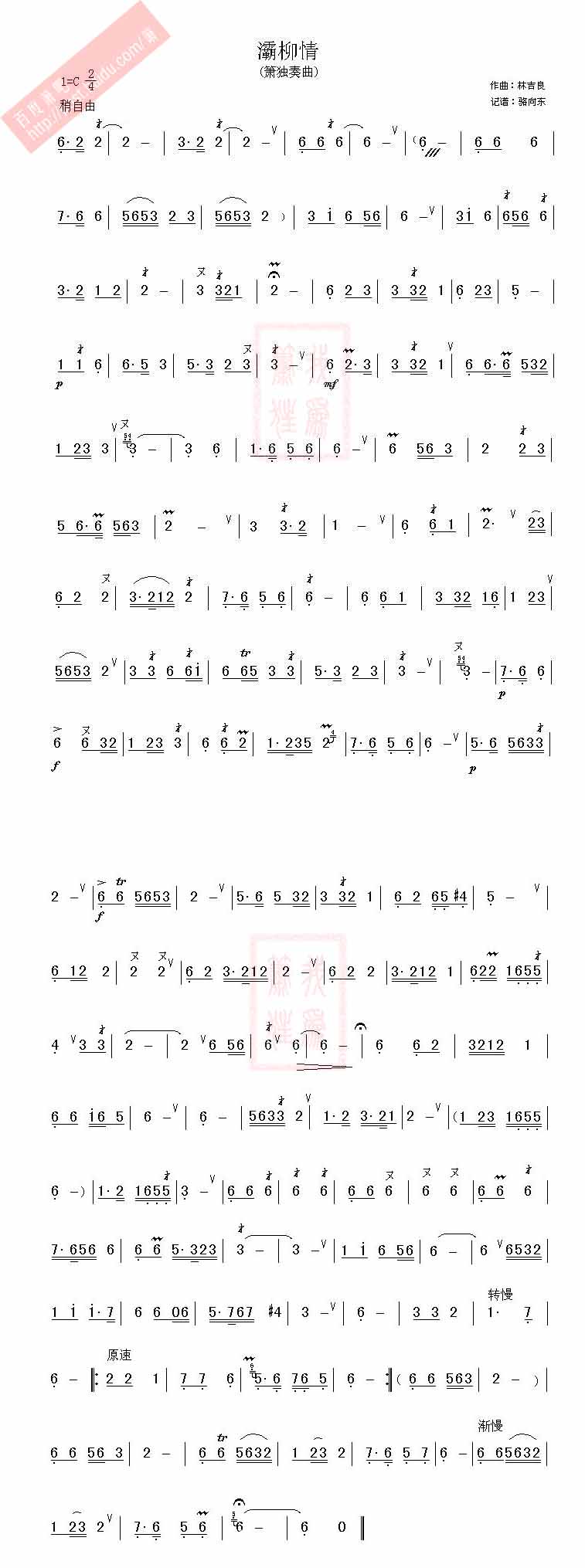
《霸柳情》笛萧谱 未知
民族类2008-02-23


相关曲谱
- 未知 | 黑人抬棺
- 未知 | 唱支山歌给党听合唱谱
- 未知 | 赵子龙
- 未知 | 冬天最冷
- 未知 | 千年干窑
- 未知 | 水乡社戏
- 未知 | 七月的目光
- 未知 | 九寨的月亮
- 未知 | 家乡的音乐广场
- 未知 | 小猪吃西瓜
- 未知 | 大上海赞美诗
- 未知 | 垃圾分类好 少儿曲谱
- 未知 | 开朗(电视剧《知否知否应是绿肥红瘦》配乐)
- 未知 | 心中的歌,浏阳河
- 未知 | 在那遥远的地方(青海民歌)[合唱曲谱]简谱
- 未知 | 半个月亮爬上来(青海民歌)[合唱曲谱]简谱
- 未知 | 花儿与少年(青海民歌)简谱
- 未知 | 新春秧歌闹起来-陕西民歌简谱
- 未知 | 挂红灯(陕西民歌)简谱
- 未知 | 三十里铺(陕西民歌 彭丽媛)简谱

