为您搜集整理歌曲曲谱歌谱、简谱、吉它谱、钢琴谱!
手机扫一扫
首页
乐谱
流行类
民族类
少儿类
影视类
戏曲类
外国类
圣歌类
吉他谱
钢琴谱
电子琴谱
手风琴谱
二胡谱
笛萧谱
萨克斯谱
古筝谱
简谱
最新曲谱
热门曲谱
曲谱之家
>
格式
>
最新曲谱
> 正文
推荐曲谱
用力活着
白月光与朱砂痣
醒不来的梦
别把我丢了(《阳光劫匪》主题曲)
和光同尘(《大江大河2》主题曲)
不舍(《斗罗大陆》片尾曲)
枕雪楼
茫
莫吉托(Mojito)
心路(电视剧《燃烧》片尾曲)
发现
周杰伦
邓丽君
林俊杰
张学友
毛不易
薛之谦
廖昌永
降央卓玛
邓紫棋
张惠妹
海来阿木
梦之旅
崔伟立
陈奕迅
向邦瑜
姚贝娜
宋祖英
童安格
王丽达
阎维文
阿云嘎
刘珂矣
hita
张津涤
洛天依
beyond
徐佳莹
王佑贵
刘德华
谭维维
梁静茹
张碧晨
茉莉花
天籁天
范琳琳
孙艺琪
五月天
乌兰托娅
汪苏泷
王力宏
沈建国
我的祖国
云菲菲
孙燕姿
殷秀梅
卓依婷
罗大佑
望海高歌
毛阿敏
周华健
李荣浩
董文华
李玲玉
蒋大为
刘和刚
李谷一
少司命
谷建芬
龙梅子
映山红
王雪玲
乌兰图雅
庄心妍
我和我的祖国
杨宗纬
喜欢你
林玉英
张靓颖
张韶涵
tfboys
韩宝仪
华晨宇
谭咏麟
张国荣
北国之春
徐誉滕
魏新雨
龙飘飘
aki阿杰
泽旺多吉
李玉刚
司徒兰芳
女儿情
张冬玲
于文华
于淑珍
梅艳芳
吕继宏
张信哲
陈情令
任贤齐
莫文蔚
王宏伟
阿鲁阿卓
朱昌耀
陈楚生
高胜美
奥特曼
青花瓷
雨中百合
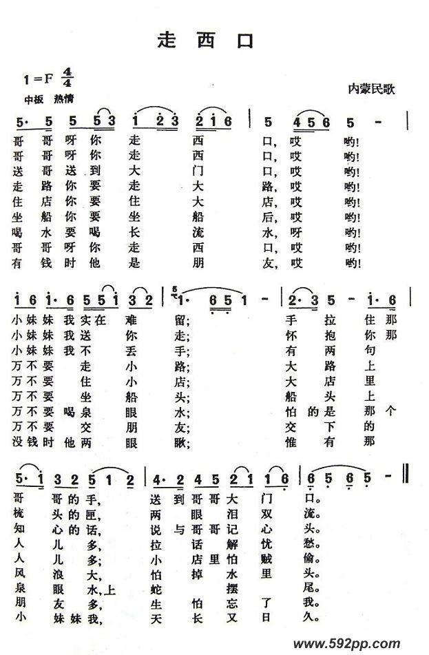
《走西口》简谱
流行类
(内蒙民歌)
2018-10-09
版本一
版本二
上一篇:
秧歌舞曲
不想再原谅
下一篇:
月光下的红树林-姚峰
小雨伞 溜溜圆
相关曲谱
刘亦菲
|
放下(《四大名捕2》主题曲)
生日快乐吉他谱
枫红黑龙山
郭顶
|
我们俩吉他谱
当爱已成往事
永远在一起(选自动画电影《千与千寻》)
刘和刚
|
最美的月亮
刘和刚
|
好男儿就是要当兵
童谣
[美] 永远的朋友(巴塞罗那奥运会主题歌 )
丁晓君
|
春晖简谱
达坡玛吉
|
阿妹的情歌
colors
关剑
|
江湖酒
方脸组合
|
亲一口
新疆是个好地方
佚名
|
新疆是个好地方
蓝蕊
|
感谢有你陪在我身边简谱
颜如玉
|
江城子·密州出猎
安静
|
心上痕简谱