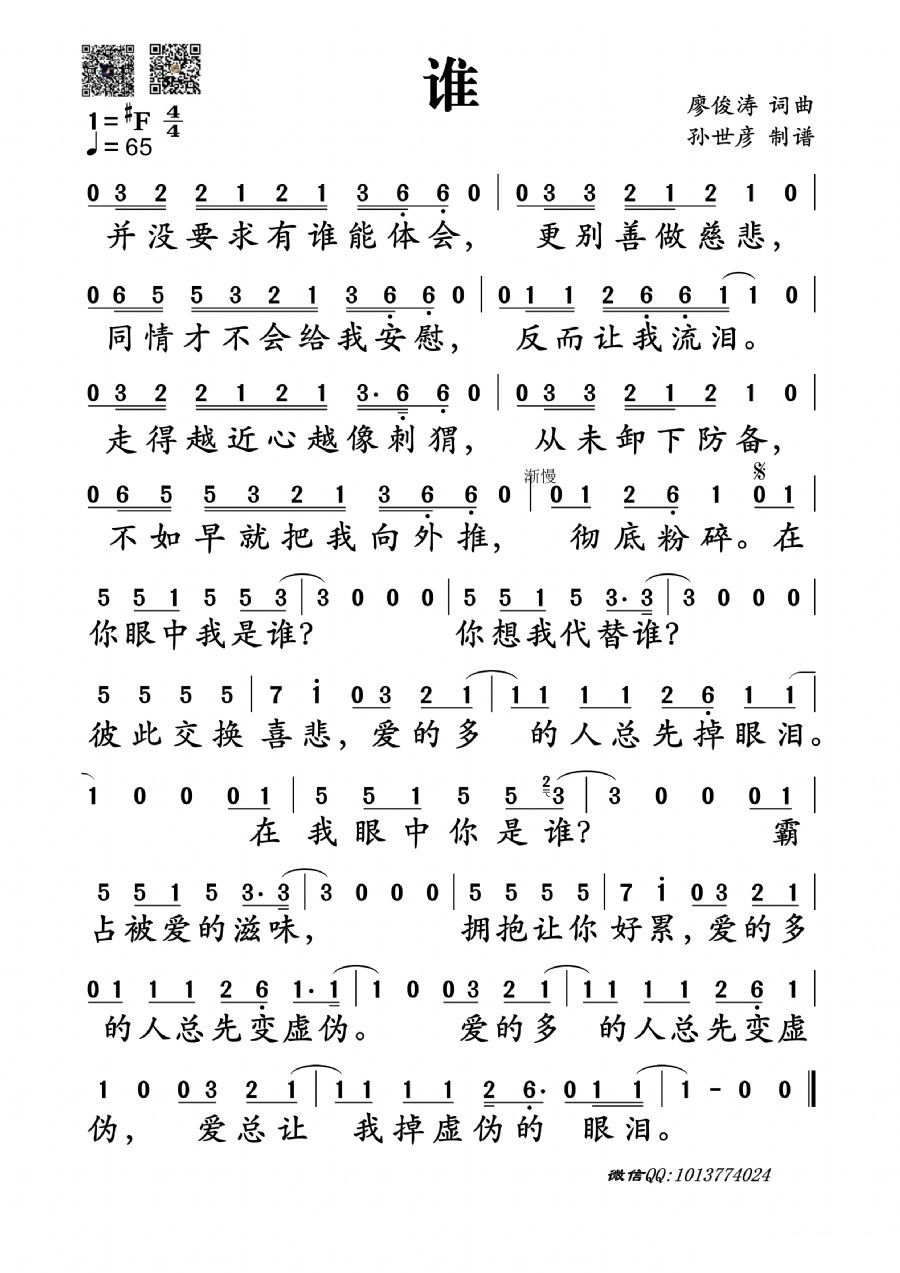
《谁》简谱
流行类2018-10-18

相关曲谱
- Kizuna Ai(絆愛,キ/#12474;ナ/#12450;イ) | [日]aiaiai(电视动画《virtualsan-looking》第1话~第6话的片头曲)
- 刘亦菲 | 放下(《四大名捕2》主题曲)
- 生日快乐吉他谱
- 枫红黑龙山
- 郭顶 | 我们俩吉他谱
- 当爱已成往事
- 永远在一起(选自动画电影《千与千寻》)
- 刘和刚 | 最美的月亮
- 刘和刚 | 好男儿就是要当兵
- 童谣
- [美] 永远的朋友(巴塞罗那奥运会主题歌 )
- 丁晓君 | 春晖简谱
- 达坡玛吉 | 阿妹的情歌
- colors
- 关剑 | 江湖酒
- 方脸组合 | 亲一口
- 新疆是个好地方
- 佚名 | 新疆是个好地方
- 蓝蕊 | 感谢有你陪在我身边简谱
- 颜如玉 | 江城子·密州出猎


