为您搜集整理歌曲曲谱歌谱、简谱、吉它谱、钢琴谱!
手机扫一扫
首页
乐谱
流行类
民族类
少儿类
影视类
戏曲类
外国类
圣歌类
吉他谱
钢琴谱
电子琴谱
手风琴谱
二胡谱
笛萧谱
萨克斯谱
古筝谱
简谱
最新曲谱
热门曲谱
曲谱之家
>
格式
>
最新曲谱
> 正文
推荐曲谱
用力活着
白月光与朱砂痣
醒不来的梦
别把我丢了(《阳光劫匪》主题曲)
和光同尘(《大江大河2》主题曲)
不舍(《斗罗大陆》片尾曲)
枕雪楼
茫
莫吉托(Mojito)
心路(电视剧《燃烧》片尾曲)
发现
周杰伦
邓丽君
林俊杰
张学友
毛不易
薛之谦
降央卓玛
廖昌永
邓紫棋
张惠妹
海来阿木
梦之旅
崔伟立
陈奕迅
向邦瑜
姚贝娜
宋祖英
童安格
王丽达
阎维文
阿云嘎
刘珂矣
hita
张津涤
洛天依
徐佳莹
beyond
王佑贵
谭维维
刘德华
梁静茹
张碧晨
茉莉花
天籁天
范琳琳
孙艺琪
五月天
乌兰托娅
汪苏泷
王力宏
沈建国
我的祖国
云菲菲
卓依婷
孙燕姿
殷秀梅
罗大佑
望海高歌
毛阿敏
周华健
李荣浩
董文华
李玲玉
蒋大为
刘和刚
李谷一
少司命
谷建芬
龙梅子
映山红
王雪玲
乌兰图雅
庄心妍
我和我的祖国
杨宗纬
林玉英
喜欢你
张靓颖
张韶涵
tfboys
韩宝仪
华晨宇
谭咏麟
张国荣
北国之春
徐誉滕
魏新雨
龙飘飘
aki阿杰
泽旺多吉
李玉刚
司徒兰芳
女儿情
张冬玲
于文华
于淑珍
梅艳芳
吕继宏
张信哲
陈情令
任贤齐
莫文蔚
王宏伟
阿鲁阿卓
朱昌耀
陈楚生
高胜美
奥特曼
青花瓷
雨中百合
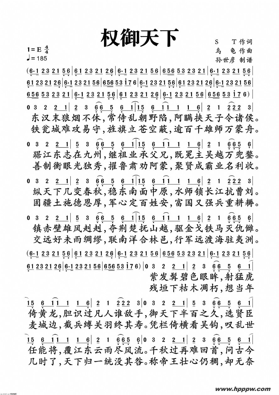
《权御天下(电影《闪光少女》插曲)》简谱 洛天依
影视类
作词:ST 作曲:乌龟
演唱:
洛天依
2019-08-03
上一篇:
步步(电视剧《步步惊情》主题曲)-五月天
忘羡(电视剧《陈情令》片尾曲)-肖战/王一博
下一篇:
我愿意平凡的陪在你身边
吻你-哈琳、锡林宝力日
相关曲谱
洛天依
|
大小姐的复仇生涯
洛天依
|
兔子先生
洛天依
|
牧羊姑娘
洛天依
/
言和
|
梨花蒹葭
洛天依
|
权御天下(电影《闪光少女》插曲)
洛天依
|
绝体绝命
洛天依
|
为了你唱下去
许嵩(feat. 洛天依)
|
深夜书店
洛天依
|
罂粟花冠
乐正绫,feat.洛天依
|
九九八十一
Alex土豆君
/
洛天依
|
易水诀
洛天依
|
歌唱祖国
洛天依
/
言和
|
阴阳先生
洛天依
/
言和
|
反派死于话多
洛天依
|
9bang15便士
洛天依
|
千与千寻
Kira却月
/
洛天依
/
乐正绫
|
镜月吟
洛天依
|
kill my name
洛天依
|
风萤月
洛天依
|
陌上花开简谱