为您搜集整理歌曲曲谱歌谱、简谱、吉它谱、钢琴谱!
手机扫一扫
首页
乐谱
流行类
民族类
少儿类
影视类
戏曲类
外国类
圣歌类
吉他谱
钢琴谱
电子琴谱
手风琴谱
二胡谱
笛萧谱
萨克斯谱
古筝谱
简谱
最新曲谱
热门曲谱
曲谱之家
>
格式
>
最新曲谱
> 正文
推荐曲谱
用力活着
白月光与朱砂痣
醒不来的梦
别把我丢了(《阳光劫匪》主题曲)
和光同尘(《大江大河2》主题曲)
不舍(《斗罗大陆》片尾曲)
枕雪楼
茫
莫吉托(Mojito)
心路(电视剧《燃烧》片尾曲)
发现
周杰伦
邓丽君
林俊杰
张学友
毛不易
薛之谦
降央卓玛
廖昌永
邓紫棋
张惠妹
海来阿木
梦之旅
崔伟立
陈奕迅
向邦瑜
姚贝娜
宋祖英
童安格
王丽达
阎维文
阿云嘎
刘珂矣
hita
张津涤
洛天依
徐佳莹
beyond
王佑贵
谭维维
刘德华
梁静茹
张碧晨
茉莉花
天籁天
范琳琳
孙艺琪
五月天
乌兰托娅
汪苏泷
王力宏
沈建国
我的祖国
云菲菲
卓依婷
孙燕姿
殷秀梅
罗大佑
望海高歌
毛阿敏
周华健
李荣浩
董文华
李玲玉
蒋大为
刘和刚
李谷一
少司命
谷建芬
龙梅子
映山红
王雪玲
乌兰图雅
庄心妍
我和我的祖国
杨宗纬
林玉英
喜欢你
张靓颖
张韶涵
tfboys
韩宝仪
华晨宇
谭咏麟
张国荣
北国之春
徐誉滕
魏新雨
龙飘飘
aki阿杰
泽旺多吉
李玉刚
司徒兰芳
女儿情
张冬玲
于文华
于淑珍
梅艳芳
吕继宏
张信哲
陈情令
任贤齐
莫文蔚
王宏伟
阿鲁阿卓
朱昌耀
陈楚生
高胜美
奥特曼
青花瓷
雨中百合
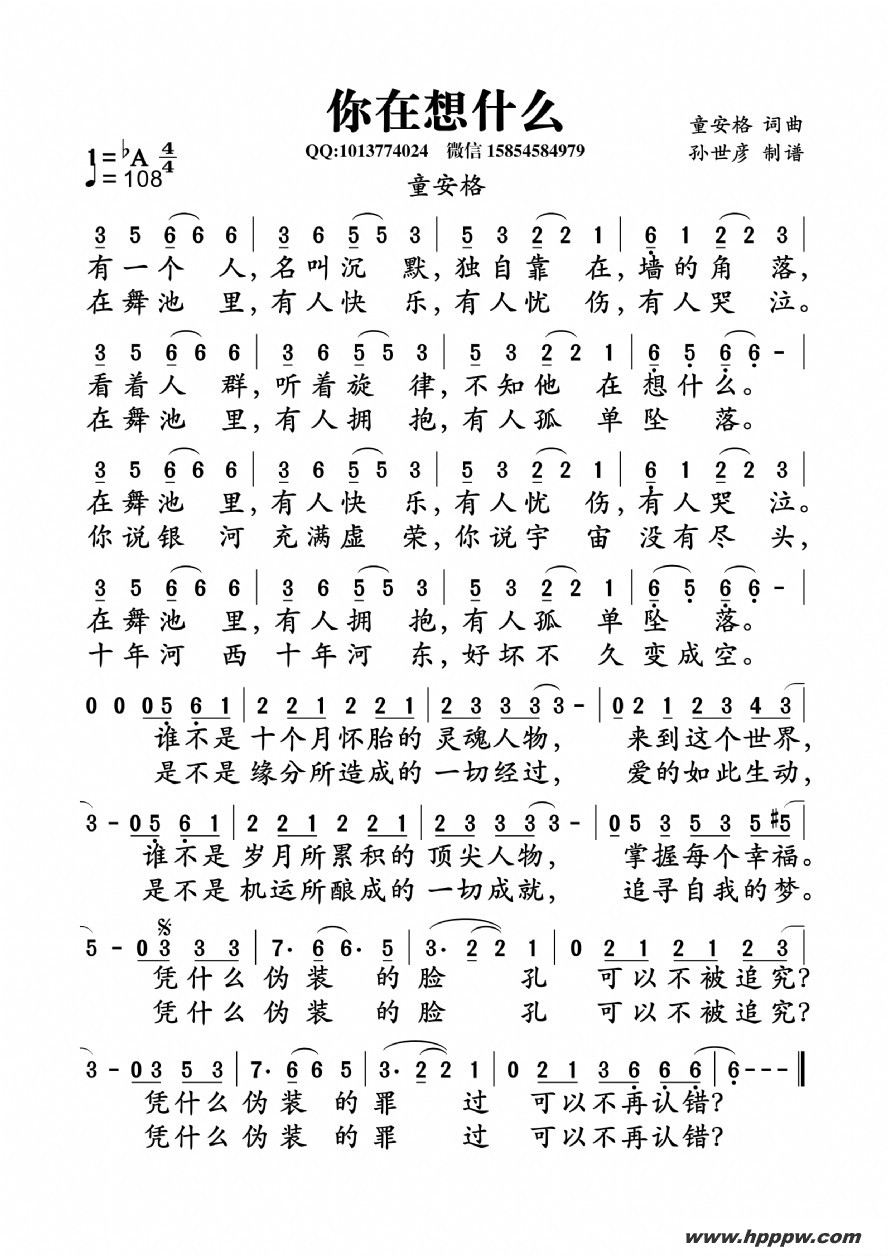
《你在想什么》简谱 童安格
流行类
作词:童安格 作曲:童安格(童安格词曲)
演唱:
童安格
2019-08-18
上一篇:
大地芬芳-赖云岚
爱的路上我和你-望海高歌
下一篇:
我和我的祖国合唱谱
圆圆的月弯弯的河-戴海霞
相关曲谱
童安格
|
明天你是否依然爱我
童安格
|
明天你是否依然爱我
童安格
|
爱情终究是一场难圆的梦
童安格
|
你我的爱只能擦肩而过
童安格
|
其实你不懂我的心
童安格
|
等我一起入梦
童安格
|
耶利亚女郎
童安格
|
借我一点爱
童安格
|
玫瑰的谎言
童安格
|
不要分离
童安格
|
花瓣雨
童安格
|
想你
童安格
|
七色光之歌
童安格
|
把根留住
童安格
|
让生命等候
童安格
|
爱与哀愁
童安格
|
一世情缘
童安格
|
一世情缘
童安格
|
把根留住
童安格
|
不必太在意