为您搜集整理歌曲曲谱歌谱、简谱、吉它谱、钢琴谱!
手机扫一扫
首页
乐谱
流行类
民族类
少儿类
影视类
戏曲类
外国类
圣歌类
吉他谱
钢琴谱
电子琴谱
手风琴谱
二胡谱
笛萧谱
萨克斯谱
古筝谱
简谱
最新曲谱
热门曲谱
曲谱之家
>
格式
>
最新曲谱
> 正文
推荐曲谱
用力活着
白月光与朱砂痣
醒不来的梦
别把我丢了(《阳光劫匪》主题曲)
和光同尘(《大江大河2》主题曲)
不舍(《斗罗大陆》片尾曲)
枕雪楼
茫
莫吉托(Mojito)
心路(电视剧《燃烧》片尾曲)
发现
周杰伦
邓丽君
林俊杰
张学友
毛不易
薛之谦
降央卓玛
廖昌永
邓紫棋
张惠妹
海来阿木
崔伟立
梦之旅
姚贝娜
陈奕迅
向邦瑜
宋祖英
王丽达
童安格
阎维文
阿云嘎
hita
刘珂矣
张津涤
徐佳莹
洛天依
beyond
王佑贵
谭维维
刘德华
梁静茹
张碧晨
茉莉花
范琳琳
天籁天
孙艺琪
五月天
乌兰托娅
汪苏泷
王力宏
沈建国
孙燕姿
我的祖国
云菲菲
卓依婷
殷秀梅
望海高歌
罗大佑
李荣浩
周华健
毛阿敏
董文华
李玲玉
蒋大为
刘和刚
李谷一
少司命
谷建芬
龙梅子
映山红
王雪玲
庄心妍
乌兰图雅
我和我的祖国
杨宗纬
林玉英
喜欢你
张靓颖
张韶涵
tfboys
华晨宇
韩宝仪
谭咏麟
魏新雨
于淑珍
张国荣
北国之春
徐誉滕
龙飘飘
aki阿杰
泽旺多吉
李玉刚
司徒兰芳
女儿情
张冬玲
于文华
梅艳芳
吕继宏
陈楚生
张信哲
陈情令
任贤齐
莫文蔚
王宏伟
阿鲁阿卓
起风了
朱昌耀
高胜美
奥特曼
青花瓷
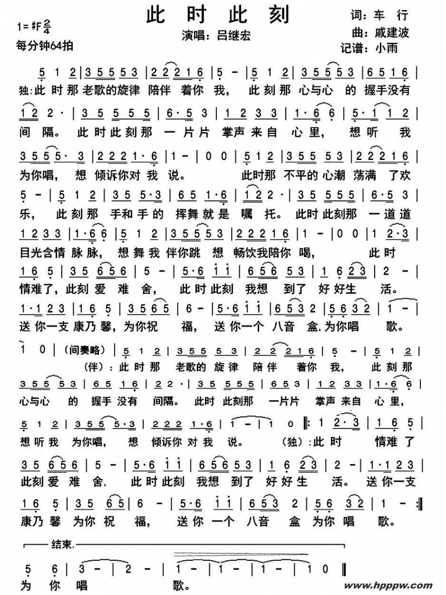
《此时此刻》简谱 吕继宏
流行类
作词:车行 作曲:戚建波
演唱:
吕继宏
2020-01-02
上一篇:
电话情思-卓依婷
一朵云在蓝天飘过-王爱华
下一篇:
冰雪天堂-齐旦布
卓玛的歌-王相周
相关曲谱
吕继宏 张也
|
看山看水看中国
吕继宏
|
再见了,大别山
吕继宏
/
小阚
|
大风吹(电视剧《楚汉传奇》片尾主题歌)
吕继宏 吕薇
|
抚仙湖恋歌
吕继宏
|
吃水不忘挖井人
吕继宏
|
故乡恋
吕继宏
|
善意的谎言
吕继宏
|
我爱这蓝色的海洋
吕继宏
|
国泰民安
吕继宏
|
咱老百姓
吕继宏
|
可爱的一朵玫瑰花
吕继宏
|
我爱这蓝色的海洋
吕继宏
|
我爱这蓝色的海洋
吕继宏
|
再见了大别山
吕继宏
|
亮剑蔚蓝
吕继宏
|
妈妈的歌谣
吕继宏
|
甘肃老家
吕继宏
|
战士为国守安详
吕继宏
|
问边关
吕继宏
/
龚爽
|
致敬