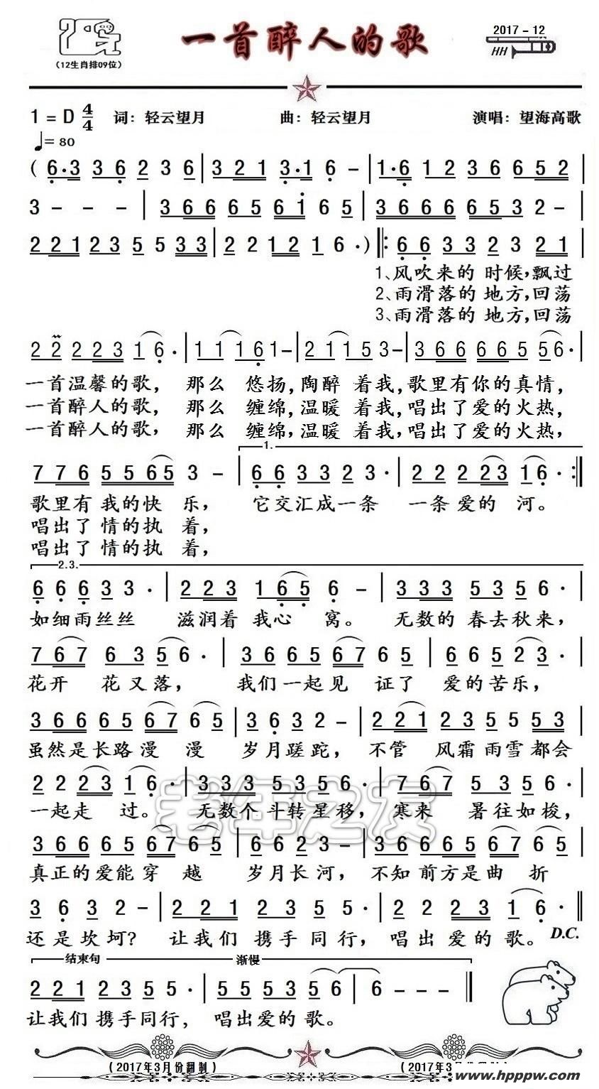
《一首醉人的歌》简谱
流行类2020-01-18


相关曲谱
- 小赋格
- 天真烂漫
- 卡萨布兰卡
- 王小雅 | 我的窑洞我的家(微电影《我的窑洞我的家》插曲)简谱
- 陈瑞 | 哪边简谱
- 执素兮 | 尘缘入墨简谱
- 徐小凤 | 别亦难
- 小桥流水/葛冬梅 | 似水柔情
- 生亦何欢 死亦何苦
- 任天鸣 | 一程山水一程歌
- album for the young萨克斯谱
- 布仁巴雅尔 | 月夜
- 春天的故事
- 东方之珠
- 我爱你,中国
- 苏玮 | 黄河水车
- 艾梅 | 黄河水车
- 王丽达 | 千年一朵莲
- Kizuna Ai(絆愛,キ/#12474;ナ/#12450;イ) | [日]aiaiai(电视动画《virtualsan-looking》第1话~第6话的片头曲)
- 刘亦菲 | 放下(《四大名捕2》主题曲)

