为您搜集整理歌曲曲谱歌谱、简谱、吉它谱、钢琴谱!
手机扫一扫
首页
乐谱
流行类
民族类
少儿类
影视类
戏曲类
外国类
圣歌类
吉他谱
钢琴谱
电子琴谱
手风琴谱
二胡谱
笛萧谱
萨克斯谱
古筝谱
简谱
最新曲谱
热门曲谱
曲谱之家
>
格式
>
最新曲谱
> 正文
推荐曲谱
用力活着
白月光与朱砂痣
醒不来的梦
别把我丢了(《阳光劫匪》主题曲)
和光同尘(《大江大河2》主题曲)
不舍(《斗罗大陆》片尾曲)
枕雪楼
茫
莫吉托(Mojito)
心路(电视剧《燃烧》片尾曲)
发现
周杰伦
邓丽君
林俊杰
张学友
毛不易
薛之谦
降央卓玛
廖昌永
邓紫棋
张惠妹
海来阿木
崔伟立
梦之旅
姚贝娜
陈奕迅
向邦瑜
宋祖英
王丽达
童安格
阎维文
阿云嘎
hita
刘珂矣
张津涤
徐佳莹
洛天依
beyond
王佑贵
谭维维
刘德华
梁静茹
张碧晨
茉莉花
范琳琳
天籁天
孙艺琪
五月天
乌兰托娅
汪苏泷
王力宏
沈建国
孙燕姿
我的祖国
云菲菲
卓依婷
殷秀梅
望海高歌
罗大佑
李荣浩
周华健
毛阿敏
董文华
李玲玉
蒋大为
刘和刚
李谷一
少司命
谷建芬
龙梅子
映山红
王雪玲
庄心妍
乌兰图雅
我和我的祖国
杨宗纬
林玉英
喜欢你
张靓颖
张韶涵
tfboys
华晨宇
韩宝仪
谭咏麟
魏新雨
于淑珍
张国荣
北国之春
徐誉滕
龙飘飘
aki阿杰
泽旺多吉
李玉刚
司徒兰芳
女儿情
张冬玲
于文华
梅艳芳
吕继宏
陈楚生
张信哲
陈情令
任贤齐
莫文蔚
王宏伟
阿鲁阿卓
起风了
朱昌耀
高胜美
奥特曼
青花瓷
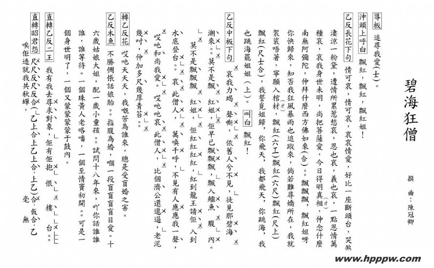
《[粤曲]碧海狂僧》简谱
流行类
(工尺谱)
2020-03-25
上一篇:
[粤曲]北地离歌
[粤曲]古渡离愁
下一篇:
[粤曲]钱塘泣别
[粤曲]月底情思-张靖 张倩
相关曲谱
little fugue in g minor
二部小赋格曲
霍曼《小提琴基础教程》选曲:小赋格曲
小赋格曲ii
小赋格
天真烂漫
卡萨布兰卡
王小雅
|
我的窑洞我的家(微电影《我的窑洞我的家》插曲)简谱
陈瑞
|
哪边简谱
执素兮
|
尘缘入墨简谱
徐小凤
|
别亦难
小桥流水
/
葛冬梅
|
似水柔情
生亦何欢 死亦何苦
任天鸣
|
一程山水一程歌
album for the young萨克斯谱
布仁巴雅尔
|
月夜
春天的故事
东方之珠
我爱你,中国
苏玮
|
黄河水车