为您搜集整理歌曲曲谱歌谱、简谱、吉它谱、钢琴谱!
手机扫一扫
首页
乐谱
流行类
民族类
少儿类
影视类
戏曲类
外国类
圣歌类
吉他谱
钢琴谱
电子琴谱
手风琴谱
二胡谱
笛萧谱
萨克斯谱
古筝谱
简谱
最新曲谱
热门曲谱
曲谱之家
>
格式
>
最新曲谱
> 正文
推荐曲谱
用力活着
白月光与朱砂痣
醒不来的梦
别把我丢了(《阳光劫匪》主题曲)
和光同尘(《大江大河2》主题曲)
不舍(《斗罗大陆》片尾曲)
枕雪楼
茫
莫吉托(Mojito)
心路(电视剧《燃烧》片尾曲)
发现
周杰伦
张学友
林俊杰
邓丽君
毛不易
薛之谦
降央卓玛
廖昌永
邓紫棋
张惠妹
海来阿木
崔伟立
梦之旅
姚贝娜
陈奕迅
向邦瑜
宋祖英
王丽达
童安格
阿云嘎
阎维文
刘珂矣
hita
张津涤
徐佳莹
洛天依
beyond
王佑贵
谭维维
刘德华
梁静茹
张碧晨
孙艺琪
茉莉花
范琳琳
天籁天
五月天
汪苏泷
乌兰托娅
王力宏
沈建国
我的祖国
孙燕姿
卓依婷
殷秀梅
云菲菲
望海高歌
周华健
李荣浩
罗大佑
毛阿敏
董文华
蒋大为
李玲玉
李谷一
刘和刚
少司命
华晨宇
谷建芬
tfboys
映山红
龙梅子
杨宗纬
王雪玲
庄心妍
乌兰图雅
我和我的祖国
林玉英
喜欢你
张韶涵
张靓颖
谭咏麟
韩宝仪
魏新雨
于淑珍
张国荣
北国之春
徐誉滕
奥特曼
龙飘飘
aki阿杰
泽旺多吉
李玉刚
女儿情
于文华
张冬玲
司徒兰芳
梅艳芳
起风了
陈情令
任贤齐
吕继宏
陈楚生
张信哲
winky诗
莫文蔚
王宏伟
阿鲁阿卓
青花瓷
朱昌耀
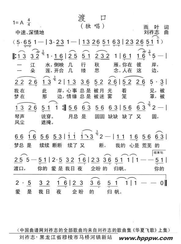
《渡口》简谱
流行类
作词:雨叶 作曲:刘祚志(雨叶词 刘祚志曲)
2021-01-22
上一篇:
渡口
下一篇:
渡口-蔡琴
渡口
相关曲谱
渡口
蔡琴
|
渡口
渡口
渡口
渡口
渡口
梦之旅组合+青芒果版
|
山楂树
丁晓君
|
我伴梅花报春来
李志
|
关于郑州的记忆
李龙基
|
莫文蔚
|
他不爱我
骤雨中的阳光
fǘr elise
吴琼
|
逍遥游
邓紫棋
|
来自天堂的魔鬼
立冬送秋
杭连山
|
阿尔山
梦然
|
少年
文静
|
此情一直在心间
伴随着你