为您搜集整理歌曲曲谱歌谱、简谱、吉它谱、钢琴谱!
手机扫一扫
首页
乐谱
流行类
民族类
少儿类
影视类
戏曲类
外国类
圣歌类
吉他谱
钢琴谱
电子琴谱
手风琴谱
二胡谱
笛萧谱
萨克斯谱
古筝谱
简谱
最新曲谱
热门曲谱
曲谱之家
>
格式
>
最新曲谱
> 正文
推荐曲谱
用力活着
白月光与朱砂痣
醒不来的梦
别把我丢了(《阳光劫匪》主题曲)
和光同尘(《大江大河2》主题曲)
不舍(《斗罗大陆》片尾曲)
枕雪楼
茫
莫吉托(Mojito)
心路(电视剧《燃烧》片尾曲)
发现
周杰伦
张学友
林俊杰
邓丽君
毛不易
薛之谦
降央卓玛
张惠妹
廖昌永
邓紫棋
海来阿木
崔伟立
梦之旅
姚贝娜
陈奕迅
向邦瑜
宋祖英
阿云嘎
王丽达
刘珂矣
童安格
张津涤
阎维文
hita
徐佳莹
洛天依
beyond
王佑贵
谭维维
刘德华
孙艺琪
梁静茹
张碧晨
茉莉花
五月天
范琳琳
天籁天
汪苏泷
乌兰托娅
沈建国
王力宏
云菲菲
孙燕姿
殷秀梅
我的祖国
罗大佑
卓依婷
周华健
望海高歌
李荣浩
毛阿敏
董文华
蒋大为
李玲玉
李谷一
刘和刚
华晨宇
少司命
谷建芬
tfboys
映山红
龙梅子
庄心妍
杨宗纬
王雪玲
我和我的祖国
乌兰图雅
林玉英
韩宝仪
张韶涵
喜欢你
张靓颖
谭咏麟
奥特曼
女儿情
张国荣
魏新雨
北国之春
徐誉滕
起风了
龙飘飘
泽旺多吉
于淑珍
陈情令
于文华
aki阿杰
李玉刚
会不会
张冬玲
任贤齐
司徒兰芳
梅艳芳
陈楚生
吕继宏
阿鲁阿卓
莫文蔚
青花瓷
张信哲
winky诗
王宏伟
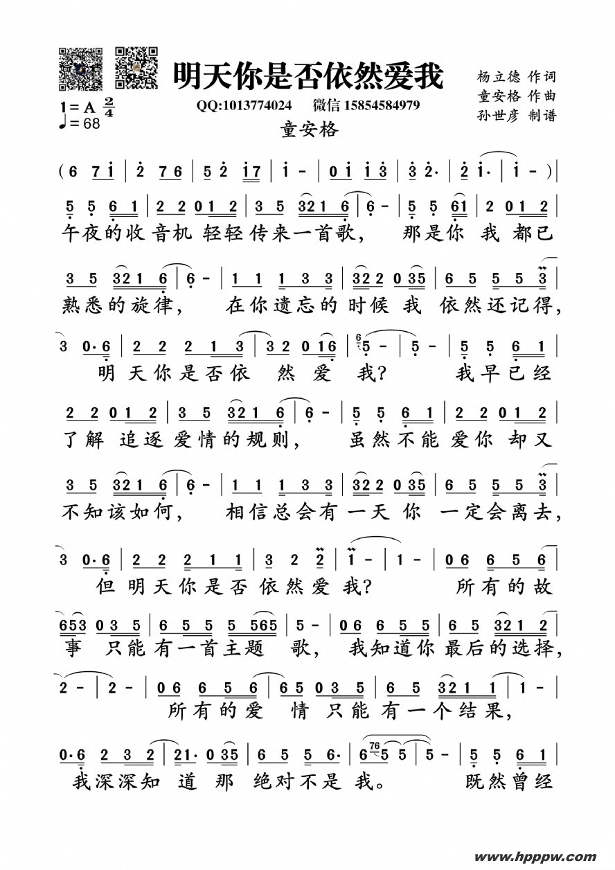
《明天你是否依然爱我》简谱 童安格
流行类
作词:杨立德 作曲:童安格(杨立德词 童安格曲 )
演唱:
童安格
2021-01-24
【
《明天你是否依然爱我》吉他谱 童安格 点这里
】【
《明天你是否依然爱我》总谱 童安格 点这里
】【
《明天你是否依然爱我》简谱 童安格 点这里
】
上一篇:
追光者-岑宁儿
下一篇:
谁家燕子不思归-王丽达
曹操-林俊杰
相关曲谱
童安格
|
其实你不懂我的心
童安格
|
明天你是否依然爱我
童安格
|
明天你是否依然爱我
童安格
|
爱情终究是一场难圆的梦
童安格
|
你我的爱只能擦肩而过
童安格
|
其实你不懂我的心
童安格
|
等我一起入梦
童安格
|
耶利亚女郎
童安格
|
借我一点爱
童安格
|
玫瑰的谎言
童安格
|
不要分离
童安格
|
花瓣雨
童安格
|
想你
童安格
|
七色光之歌
童安格
|
把根留住
童安格
|
让生命等候
童安格
|
爱与哀愁
童安格
|
一世情缘
童安格
|
一世情缘
童安格
|
把根留住