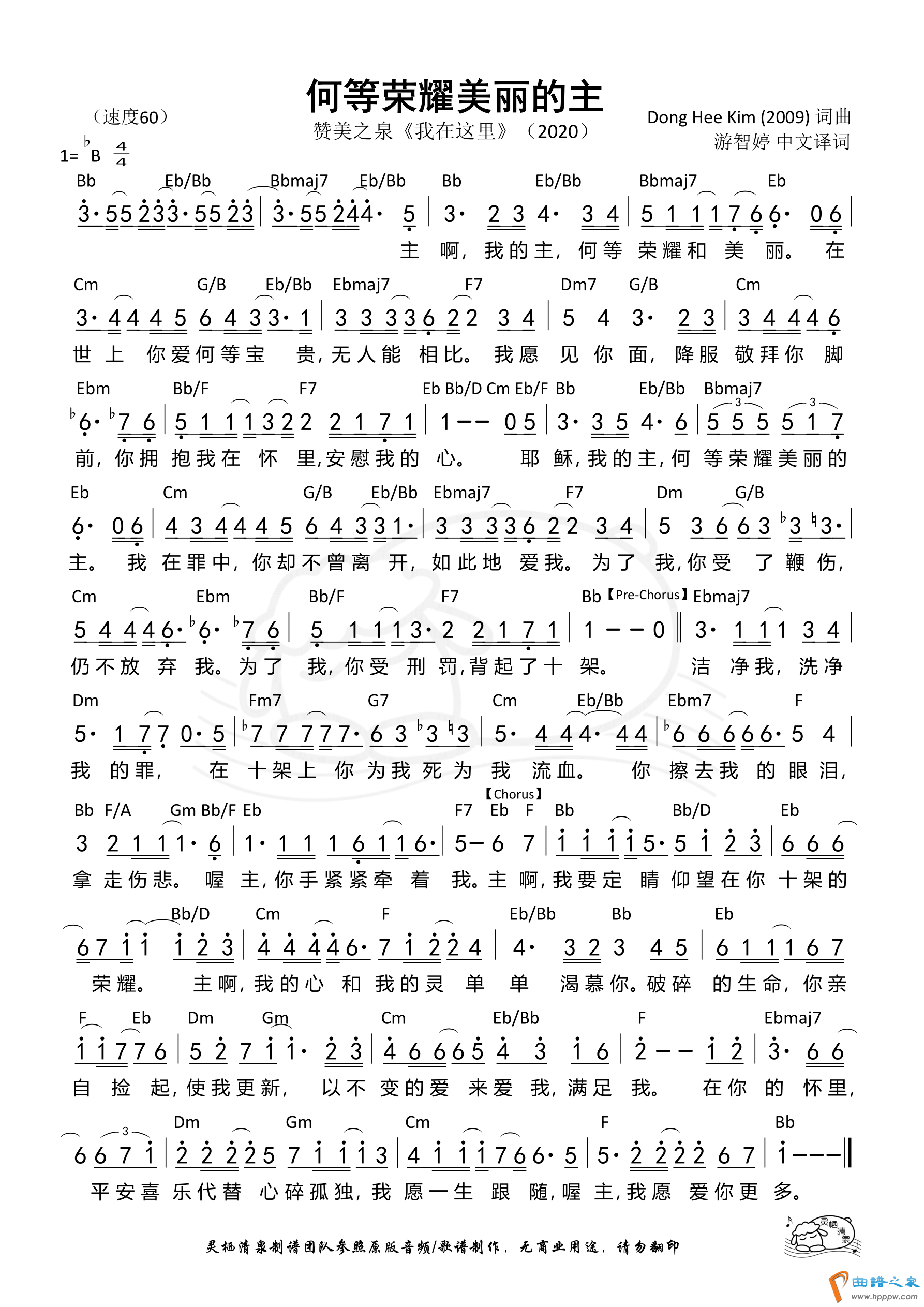
第459首 -何等荣耀美丽的主(Bb调) 和弦简谱
流行类2021-02-28 14:08

专辑:灵栖清泉(赞美之泉)赞美之泉所属歌本: 灵栖清泉(赞美之泉)
类别:圣歌
格式:简谱
来源:赞美诗网
日期:2021-2-19
人气:数据加载中...

下一篇:没有了
相关曲谱
- 第459首 -何等荣耀美丽的主(Bb调) 和弦简谱
- 第460首 -一同齐声宣扬 和弦简谱
- 第461首 -是为了爱【耶稣降生在马槽】 和弦简谱
- 第462首 -放晴了 和弦简谱
- 《星辰大海》C调吉他谱初级简单版(酷音小伟吉他教学)
- 第463首 -Good Morning,耶稣 和弦简谱
- 第464首 -小门徒 和弦简谱
- 第465首 -乌乌兹拉 和弦简谱
- 第466首 -生命中的每一天 和弦简谱
- 第467首 -The Cross(赞美之泉)(D调) 和弦简谱
- 第468首 -十字架(赞美之泉)(D调) 和弦简谱
- 第385首 -君王就在这里 和弦简谱
- 第357首 -赞美的孩子最喜乐 和弦简谱
- 第187首 -真神之爱 和弦简谱
- 第255首 -有人在为你祷告 和弦简谱
- 七秒钟的记忆
- 第215首 -维亚多勒罗沙 和弦简谱
- 第199首 -真神之爱(4/4拍)
- 第200首 -我并不知
- 第201首 -清早敬拜歌

