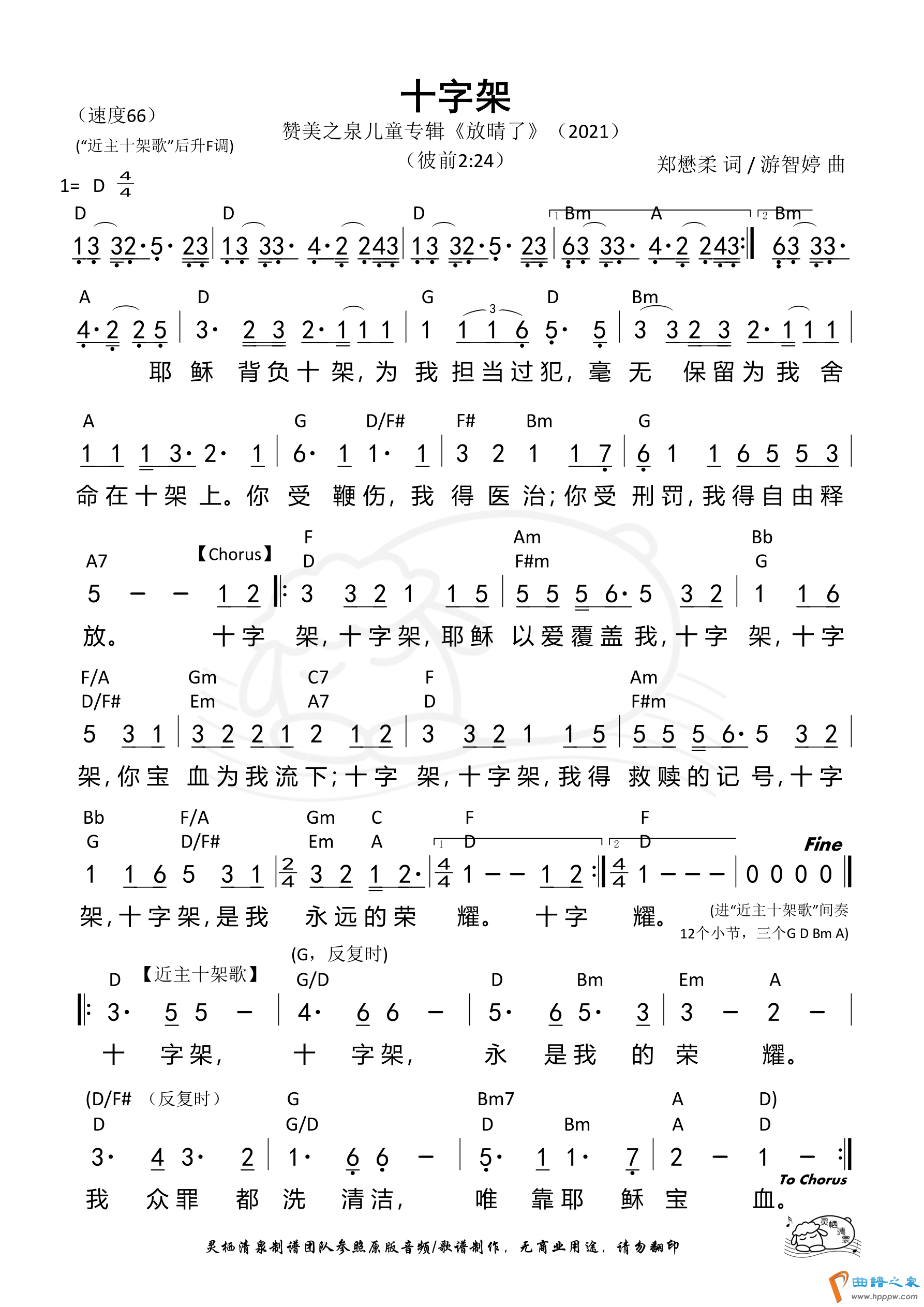
第468首 -十字架(赞美之泉)(D调) 和弦简谱
流行类2021-02-28 13:07

专辑:灵栖清泉(赞美之泉)赞美之泉所属歌本: 灵栖清泉(赞美之泉)
类别:圣歌
格式:简谱
来源:赞美诗网
日期:2021-2-19
人气:数据加载中...


专辑:灵栖清泉(赞美之泉)赞美之泉所属歌本: 灵栖清泉(赞美之泉)
类别:圣歌
格式:简谱
来源:赞美诗网
日期:2021-2-19
人气:数据加载中...
