为您搜集整理歌曲曲谱歌谱、简谱、吉它谱、钢琴谱!
手机扫一扫
首页
乐谱
流行类
民族类
少儿类
影视类
戏曲类
外国类
圣歌类
吉他谱
钢琴谱
电子琴谱
手风琴谱
二胡谱
笛萧谱
萨克斯谱
古筝谱
简谱
最新曲谱
热门曲谱
最新热门
歌曲歌词
音乐资讯
下载频道
下载app
曲谱之家
>
最新热门曲谱
正文
推荐曲谱
用力活着
白月光与朱砂痣
醒不来的梦
别把我丢了(《阳光劫匪》主题曲)
和光同尘(《大江大河2》主题曲)
不舍(《斗罗大陆》片尾曲)
枕雪楼
茫
莫吉托(Mojito)
心路(电视剧《燃烧》片尾曲)
发现
周杰伦
张学友
林俊杰
邓丽君
毛不易
薛之谦
降央卓玛
廖昌永
邓紫棋
张惠妹
海来阿木
崔伟立
梦之旅
姚贝娜
陈奕迅
向邦瑜
宋祖英
王丽达
童安格
阿云嘎
刘珂矣
张津涤
阎维文
hita
徐佳莹
洛天依
beyond
王佑贵
谭维维
刘德华
孙艺琪
梁静茹
张碧晨
五月天
茉莉花
范琳琳
天籁天
汪苏泷
乌兰托娅
沈建国
王力宏
孙燕姿
我的祖国
殷秀梅
卓依婷
望海高歌
云菲菲
周华健
李荣浩
罗大佑
毛阿敏
董文华
蒋大为
李玲玉
李谷一
刘和刚
华晨宇
谷建芬
少司命
tfboys
映山红
龙梅子
杨宗纬
王雪玲
我和我的祖国
庄心妍
乌兰图雅
韩宝仪
林玉英
喜欢你
张韶涵
张靓颖
谭咏麟
张国荣
魏新雨
北国之春
徐誉滕
泽旺多吉
奥特曼
于淑珍
龙飘飘
aki阿杰
李玉刚
女儿情
于文华
张冬玲
任贤齐
起风了
司徒兰芳
梅艳芳
陈情令
吕继宏
莫文蔚
青花瓷
陈楚生
张信哲
winky诗
王宏伟
阿鲁阿卓
会不会
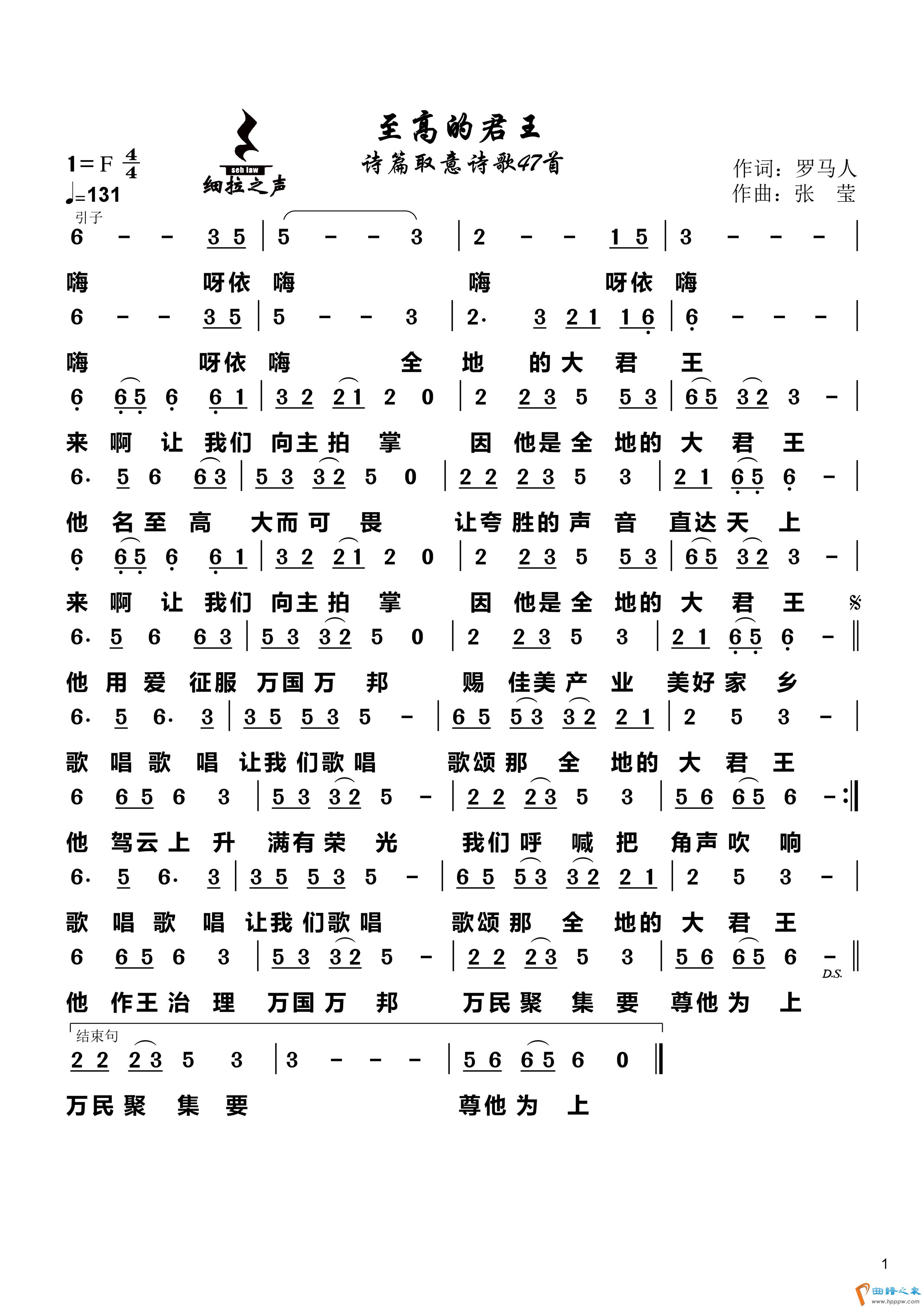
至高的君王 简谱
流行类
(作词:佚名 作曲:佚名)
演唱:
佚名
2021-03-18 21:51
专辑:细拉之声
类别:圣歌
格式:简谱
来源:赞美诗网
日期:2021-3-18
人气:数据加载中...
上一篇:
想念你的慈爱 简谱
下一篇:
全然交托 简谱
相关曲谱
我唱梁祝给你听
百年丰碑
祝你好运
《灰色轨迹》Beyond吉他谱初级版(酷音小伟吉他教学)
《灰色轨迹》Beyond吉他谱初级进阶版(酷音小伟吉他教学)
《今天是你的生日妈妈》吉他谱初级进阶版(酷音小伟吉他教学)
《今天是你的生日妈妈》吉他谱初级版(酷音小伟吉他教学)
摘菜调(合唱)
唱支山歌给党听(总谱)
成全你 忘了我
最美的祝福
神州花开
新时代的内蒙古我为你歌唱
国富民安康
新年到
遥望
雪莲情缘
幸福满堂
父母的手
往事越千年